Biodegradation of agricultural chemicals (pesticides) with aliphatic hydrocarbons
- Both saturated and unsaturated hydrocarbons are subjected to microbial degradation.
- The later one (unsaturated) is more easily degraded than the former (saturated).
- The branched compound exhibits a greater susceptibility to the action of microbial enzymes when compared to straight chain hydrocarbon. Methane, Ethane, Propane, Butane, pentane, hexane & many other aliphatic hydrocarbons are subjected to microbial degradation.
- Metabolism of Ethane is done by the species of Mycobacterium; Nocardia, Streptomycetes, Pseudomonas, Flavobacterium and several fungi.
- High molecular wt. aliphatic hydrocarbons are degraded by a variety of micro-organisms including Nocardia, Pseudomonas, Streptomycetes, Desulphovibrio, Corynebacterium and many fungi.
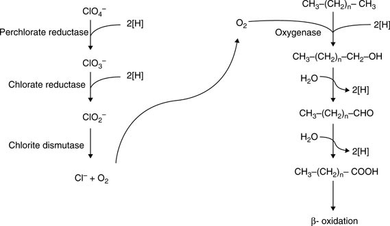
- The scheme for the degradation of aliphatic hydrocarbon is as follows.
Â

Where, X = Substitution group
First ‘X’ is deleted from the chain
If ‘X’ is chlorine→ pesticide is subjected to dehalogenation (Anaerobic)
I.e. R-CH2CH2-X
Where; Pseudomonas putida contains dehalogenase enzyme